Raketni motor sa tečnim gorivom, o kojem se ovde govori, spada u toplotne mašine. Toplotna energija motora dobija se sagorevanjem tečnog goriva i oksidatora da bi se zatim transformirala u kinetičku energiju koja daje potisak motoru.
Prilikom sagorevanja goriva i oksidatora u motoru dolazi do zagrevanja elemenata motora prvenstveno komore sagorevanja i mlaznika. Što je temperatura gasova u komori sagorevanja veća to je potisak motora veći, kao što se vidi iz jednačine za potisak preko brzine isticanja gasova.
(1)
Tada je jednačina za potisak motora:
(2)
gde je:
G [kg/sek] - težina goriva i oksidatora
C [m/sek] - brzina isticanja gasova kroz mlaznik
Fi [cm2] - površina izlaznog preseka mlaznika
pi [kg/cm2] - pritisak na izlazu iz mlaznika
pa [kg/cm2] - atmosferski pritisak
g [m/sek2] - ubrzanje Zemljine teže
Pu [kg/cm2] - pritisak u komori
k - eksponent adijabate
R [kgm/kgK] - gasna konstanta
T [°K] - temperatura gasova
Iz jednačina za brzinu isticanja gasova i potiska motora vidi se da sa porastom temperature gasova raste i brzina isticanja istih, odnosno raste potisak motora.
Međutim, mehaničke karakteristike materijala, od kojeg su izrađeni komora i mlaznik, opadaju sa porastom temperature. To dovodi do ograničavanja temperature gasova u komori na jednu maksimalno dozvoljenu vrednost.
U težnji da se ostvari što veći potisak i vek rada motora pristupa se hlađenju istog (komore i mlaznika). Za određivanje i projektovanje sistema hlađenja potrebno je što potpunije poznavati put dovedene i odvedene toplotne energije. U vezi sa tim treba proučiti intenzitet prenosa toplote, veličinu toplih površina, debljinu zidova kao i druge uticajne faktore. Treba usvajati optimalna rešenja.
Osnovni oblici izmene toplote
Da bismo imali jasniju sliku o hlađenju motora podsetićemo se osnovnih oblika prelaza (prenos, izmena) toplote.
Prelaz toplote između dva tela koja imaju različite temperature vrši se konvekcijom, provođenjem i zračenjem.
Prva dva načina se međusobno fizikalno razlikuju. Oni su vezani za materiju, za razliku od prelaza toplote zračenjem koje nije vezano.
Kod provođenja i konvekcije prelaz toplote se vrši od materije više temperature prema nižoj. Zračenja se razlikuju u tome što struja energije može prolaziti kroz područja koja imaju niže ili više temperature od temperatura dvaju dotičnih tela koja vrše izmenu toplote. Za primer zračenja kao sistema prelaza toplote između dva tela mogu poslužiti sunčevi zraci koji prolaze kroz svemir u kome vlada temperatura bliska apsolutnoj nuli.
Prelaz toplote provođenjem vrši se neposrednim dodirom čestica materije, tj. molekula. Dodiri se manifestuju u obliku međusobnih sudara molekula čije su brzine zavisne od temperature tela. Brzi molekuli toplijeg dela tela se posle sudara usporavaju, dok se molekuli hladnijeg dela tela u proseku ubrzavaju. Prirodno je da dolazi do postepenog izjednačavanja brzina molekula, a time i temperature u svim delovima tela. Ovakav intermolekularni način prelaza toplote naziva se provođenjem. Provođenje je zavisno od fizikalnih osobina dotičnog tela.
Konvekcija je najvažniji oblik prelaza toplote u tehnici. Prelaz toplote se vrši od gasova ili tečnosti koji se kreću na neki čvrsti zid i obratno. Postoji slobodna (prirodna) i prinudna (veštačka) konvekcija. Kod slobodne konvekcije čestice se ugreju i podižu se, jer su postale lakše. Ovo kretanje je prouzrokovano prenosom toplote. Kod prinudne konvekcije kretanje gasova se ostvaruje veštačkim putem nezavisno od prelaza toplote. To se, naprimer, može postići pomoću razlike pritisaka u cevi ili nekoj komori.
Konvekcija je pojava kod koje tople čestice putuju od zida u jezgro struje gasova (tečnosti) gde se hlade mešajući se sa hladnim gasovima, a hladne čestice idu iz jezgra struje prema zidu gde se greju. Što je mešanje struje gasova veće to je i prelaz toplote veći. Mešanje čestica gasova u uzdužnom i poprečnom pravcu kao i čitavih slojeva dovodi do tzv. turbulentnog strujanja.
Za razliku od turbulentnog postoji i laminarno strujanje. Kod laminarnog strujanja, čestice jednog sloja koji se kreće, ne mešaju se sa drugim susednim slojem koji se takođe kreće. Prelaz toplote poprečno na laminarne slojeve vrši se čistim provodenjem isto tako kao kada gas (tečnost) miruje.
Termodinamički proces kod hlađenja
Da bi se normalno odvijao rad motora potrebno je kontrolisati dovedenu i odvedenu toplotnu energiju. Toplota kroz komoru i mlaznik odlazi u okolinu u vidu zagrejanih gasova i toplotnih gubitaka hlađenjem kroz zidove. Materijal zidova se zagrejava. Nekontrolisano zagrejavanje može preći određenu granicu i tada može doći do neželjenih pojava kao što su pregrejavanje, progorevanje i druge. Sve to dovodi do poremećaja režima normalnog rada motora, a to direktno utiče na potisak.
U komori i mlazniku motora produkti sagorevanja dostižu temperaturu od 2500 do 3500°C. Produkti sagorevanja klizeći po unutrašnjoj površini zidova komore i mlaznika vrše intenzivan prenos toplote. Zagrejanom materijalu se smanjuju mehanička svojstva. Ako su produkti sagorevanja bogati kiseonikom tada može doći, kod visokih temperatura, do oksidacije unutrašnjih zidnih površina. Ova pojava dovodi do prekrivanja zidnih površina oksidom metala. Oksidni sloj metala ima manju čvrstoću od osnovnog materijala. Vrući gasovi, koji se kreću sa relativno velikim brzinama kroz komoru i mlaznik, ruše oksidacioni sloj zbog čega se debljina zidova postepeno smanjuje.
Prelaz toplote konvekcijom vrši se od vrućih gasova na zidove komore i mlaznika motora i od zidova na rashladnu tečnost. Kroz zidove prelaz toplote se vrši provođenjem. Zračenjem prelazi toplota od vrućih gasova na zidove. Prelaz zračenjem je minimalan u odnosu na konvekciju. Zbog turbulentnog toka struje u motoru čestice gasova vrše uzdužna i poprečna kretanja i na taj način prenose toplotu na zidove. Zidovi se zagrevaju a čestice hlade i vraćaju u jezgro gasne struje. Na njihova mesta dolaze druge čestice i tako se to neprekidno ponavlja.
Prelaz toplote je zavisan od gustine toplotnog toka, tj. od količine toplote koja prolazi kroz jediničnu površinu u jedinici vremena. Ukoliko je gustina toplotnog toka koji se prenosi na zidove veća, utoliko je i hlađenje motora složenije.

Slika 1
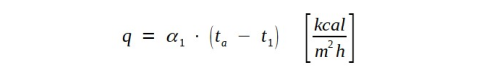
Slika 1 prikazuje kvalitativan tok temperature kod prelaza toplote od vrućih gasova preko zidova na rashladnu tečnost. Prelaz toplote na jediničnu površinu zidova u jedinici vremena može se izraziti jednačinom:
(3)
gde su:
ta - temperatura gasova
t1 - temperatura površine zidova koju dodiruju gasovi
α1 - koeficijent prelaza toplote od gasova na zidove.
Veličinu q nazivamo gustinom toplotnog toka. Koeficijenat prelaza toplote α1 karakteriše intenzitet prelaza toplote za odgovarajuću razliku temperatura (ta - t1). Što je veći koeficijenat α1 to je veći i prelaz toplote od gasova na zidove za određenu temperatursku razliku. On najviše zavisi od brzine i gustine gasova. Sa povećanjem brzine gasova povećava se i broj njegovih čestica koje dolaze u dodir sa površinom zida u jedinici vremena. Što je veća gustina gasova, veća je i težina dotičnih čestica pa zbog toga sadrže i veću količinu toplote. Osim toga koeficijenat α1 zavisi od fizičkih osobina gasova ili tečnosti kao što su specifična toplota, viskozitet i toplotna provodljivost. Ovo se sve odnosi na rasladne tečnosti koje oduzimaju toplotu zidovima, pa se analogno jednačini (3) može pisati:
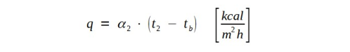
(4)
gde su:
t2 - temperatura zidova koje dodiruje rashladna tečnost
tb - temperatura rashladne tečnosti
α2 - koeficijenat prelaza toplote od zidova na rashladnu tečnost
Kao što se vidi iz jednačine (3) na veličinu gustine toplotnog toka najviše utiču koeficijenat prenosa toplote α1 i temperatura vrućih gasova.
Prema protoku gasova može se napisati jednačina:
(7)
gde su:
Gg [kg/sek] - protok gasova
F [cm2] - površina poprečnog preseka komore ili mlaznika
C [m/sek] - brzina gasova
γ [kg/dm3] - specifična težina
Veličina Gg se ne menja po dužini komore i mlaznika za razliku od α1 koji se menja sa promenom preseka F. Komora sagorevanja ima najčešće cilindričan ili sličan oblik. Prema tome koeficijenat prelaza toplote se malo menja po dužini komore sagorevanja, a maksimalna mu je promena u kritičnom preseku mlaznika.
Analizirajući eksperimentalno dobijenu krivu gustine toplotnog toka (slika 2), nije teško zaključiti da se ona menja po dužini komore i mlaznika. Kriva temperature površine zida koji dodiruju vrući gasovi menja se približno isto kao gustina toplotnog toka.

Slika 2
U kritičnom preseku mlaznika dolazi do najvećih promena pojedinih parametara gasa.
U početnom delu komore u zoni 1 (slika 2) vrši se ubrizgavanje goriva i oksidatora i rasprašivanje istih. Brzina, pritisak i temperatura gasova se znatno ne menjaju. Analogno tome i veličina gustine toplotnog toka se mnogo ne menja i relativno je mala. Rashladna tečnost u ovoj zoni je već dosta zagrejana, tako da odvodi jedan deo toplote preko zida komore.
U zoni 2 vrši se mešanje, isparavanje goriva i oksidatora, počinje sagorevanje koje traje sve do ispred zone 3. Temperatura gasova i površine zida se povećava kao i brzina proticanja gasova. Zbog toga se povećava i koeficijenat prelaza toplote, odnosno gustina toplotnog toka.
U kritičnom području - zona 3, nastaju velike promene kod gasova. Temperatura i pritisak gasova se smanjuju, dok brzina proticanja gasova i specifična zapremina naglo rastu. S obzirom na ovakav tok temperature gasova reklo bi se da će i gustina toplotnog toka padati. To bi se i dogodilo da nije znatnog uticaja koeficijenta prelaza toplote koji je najveći ovde u kritičnom području. Rečeno je da se sa povećanjem brzine i gustine gasova povećava i koeficijenat prelaza toplote. Ali se q svejedno ne bi mnogo menjalo jer i temperatura površine zida u ovom području naglo raste.
Na ovako naglo povećanje gustine toplotnog toka ima najveći uticaj toplota koja se dobija pretvaranjem kinetičke energije gasova u toplotnu energiju u graničnom sloju. Gasovi imaju neku određenu brzinu proticanja na početku graničnog sloja (posmatrano normalno na zid). Idući prema zidu brzina gasova u graničnom sloju se smanjuje, a na samoj površini zida ona je jednaka nuli. Ova toplotna energija dobrim delom prelazi na zid i time se povećava q. Da ne bi došlo do povećanja temperature zida, što bi bilo štetno za rad motora, potrebno je pronaći način za odvođenje toplote, tj. hladiti ga.
Najintenzivniji prelaz toplote od gasova na zidove je, prema tome, u oblasti kritičnog preseka mlaznika. Ovaj deo motora, tj. mlaznika je izložen najvećim toplotnim naprezanjima, pa je zbog toga na tom delu potrebno osigurati najintenzivnije odvođenje toplote odnosno hlađenje.
U komori sagorevanja veličina gustine toplotnog toka kreće se u granicama od 1,000.000 do 4,000.000, a u kritičnom preseku mlaznika od 5,000.000 do 15,000.000 kcal/m2h.
Količina toplote koja prelazi od gasova na zidove zavisi od pritiska u komori sagorevanja i temperature gasova. Na temperaturu gasova utiče vrsta goriva i koeficijenat viška oksidatora. Sa porastom pritiska u komori povećava se i specifična težina gasova na svim mestima komore i mlaznika. To sve dovodi do povećanja koeficijenta prelaza toplote a takođe i gustine toplotnog toka. Temperatura produkata sagorevanja zavisi od vrste oksidatora.
Tako, naprimer, kod kombinacije goriva i oksidatora tečni kiseonik-kerozin, gustina toplotnog toka je oko 1,5 do 1,8 puta veća od kombinacije azotna kiselina-kerozin ako su drugi uslovi ostali isti. Uzrok ovakvog odnosa je temperatura produkata sagorevanja koja je u prvom slučaju (tečni kiseonik-kerozin) veća pa su i uslovi hlađenja motora koji radi sa tečnim kiseonikom složeniji od rada motora sa azotnom kiselinom.
Povoljan sistem hlađenja pri određenim uslovima rada motora (pritisak u komori, temperatura produkata sagorevanja, potrošnja rashladne tečnosti) treba da odgovara izvesnim zahtevima i normama. U prvom redu, veličina temperature zidova t1 treba da osigurava potrebnu čvrstoću istih. Smanjivanjem temperature zida t1 povećava se sigurnost rada motora. Sa druge strane temperatura rashladne tečnosti tb ne sme da bude veća od temperature njenog ključanja. Prema tome toplotni kapacitet rashladne tečnosti treba da je veći od one količine toplote koja prolazi kroz zidove komore i mlaznika.
Postoji nekoliko sistema hlađenja raketnog motora sa tečnim gorivom koji se principijelno razlikuju, dok su u suštini isti u termodinamičkom smislu. Sistem hlađenja se odabira u zavisnosti od gustine toplotnog toka, vremena trajanja rada i od veličine toplih površina.
Najpoznatiji sistemi hlađenja su sledeći:
spoljašnji sistem hlađenja (regenerativni, protočni),
unutrašnji sistem hlađenja i
mešoviti sistem hlađenja.
Kod spoljašnjeg ili protočnog sistema hlađenja, oksidator ili gorivo kao rashladna tečnost kreće se između zidova mlaznika - komore i spojašnjeg omotača, te preuzima i odvodi toplotu od gasova preko zidova mlaznika i komore motora. Posle obavljenog hlađenja odnosno posrednog preuzimanja toplote od vrućih gasova, struja rashladne tečnosti (gorivo ili oksidator) odlazi zagrejana preko glave u komoru sagorevanja.
Sem navedenih postoje i drugi manje primenjivani sistemi.
Za hlađenje se mogu upotrebiti i neke inertne tečnosti kao što je, naprimer, voda koja posle hlađenja zidova odlazi u komoru ili se pak koristi za druge svrhe.
Neki motori se ne hlade tečnostima već deo toplote koju gasovi razvijaju apsorbuju zidovi komore i mlaznika. Ovo je tzv. apsorpcioni način hlađenja motora. Ovde se koristi toplotni kapacitet materijala zidova. Ovakav način hlađenja motora ima svojih dobrih i loših strana. Dobre su vreme rada motora je ograničeno jednostavnost konstrukcije, a loše - na nekoliko desetina sekundi. Da bi se produžilo dozvoljeno vreme rada motora sa apsorpcionim hlađenjem, povećava se debljina zidova mlaznika i komore sagorevanja do određene granice, jer posle toga težina motora znatno raste, a vreme trajanja rada motora se samo neznatno menja.
Neprekidnost rada motora koji se posebno ne hladi može se povećati i pomoću keramičkih materijala kojim se oblažu unutrašnji zidovi komore sagorevanja i mlaznika.

Slika 3
Na slici 3 je prikazana kriva temperature prelaza toplote od gasova na rashladnu tečnost. Od gasova toplota prelazi na zidove temperature t1 konvekcijom. Kroz sami zid debljine δ toplota prelazi provođenjem. Od zidova, čija je površinska temperatura sa strane tečnosti t2, toplota prelazi na rashladnu tečnost konvekcijom.
Hladne čestice tečnosti se kreću i poprečno u odnosu na pravac kretanja rashladne struje, dolaze do vrućeg zida, preuzimaju toplotu i vraćaju se u jezgro struje rashladne tečnosti hladeći na taj način zidove komore i mlaznika. Ukoliko je odvođenje toplote od zidova intenzivnije utoliko će biti i njihova temperatura niža. Intenzitet prelaza toplote od površine zidova, koja je okvašena, na rashladnu tečnost ocenjuje se pomoću koeficijenta prelaza α2.
Daljom analizom krive na slici 3 vidi se tok promene temperature u jezgru struje gasova. Temperatra se u jezgru struje skoro i ne menja zbog intenzivnog mešanja (uzdužno i poprečno premeštanje čestica gasova). Temperatura gasova se naglo menja pored zidova u graničnom sloju. Ovakva nagla promena je posledica trenja, odnosno kočenja čestica pored zidova, zbog čega one imaju malu brzinu kretanja što dovodi do slabog mešanja.
Ukupna količina toplote koju vrući gasovi predaju preko zida rashladnoj tečnosti (slika 3) može se izračunati prema jednačini:
(6)
gde je:
k [kcal/m2h°C] - koeficijenat prolaza toplote
F [m2] - površina zida
ta i tb [°C] - temperatura gasova i rashladne tečnosti
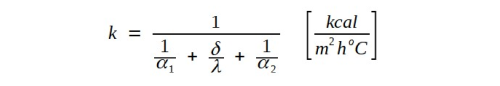
Kao što se vidi iz gornjeg izraza, količina toplote se može izračunati pomoću koeficijenta k i razlike temperature. U ovom slučaju se toplotni otpori i međutemperature između gasova i rashladne tečnosti ne uzimaju u obzir, jer je to sve sadržano u koeficijentu prolaza toplote k. On se može izraziti jednačinom:
(7)
Koeficijenat provodljivosti λ kcal/mh°C pretstavlja fizički parametar materije koji karakteriše njezinu sposobnost prenosa toplote. Što je λ veći to je provodljivost dotične materije bolja. Metali i njihove legure imaju najbolje osobine provođenja toplote. Koeficijenat λ zavisi i od temperature, smera prelaza toplote, gustine, vlage i same strukture materije. Za gasove λ se kreće u granicama od 0.005 do 0,5 a za tečnosti od 0,08 do 0,60. Kod metala λ je u granicama od 2 do 360 kcal/mh°C. Materijali sa malim λ upotrebljavaju se za toplotne izolatore.
Temperatura zida od t1 do t2 se uglavnom menja po linearnom zakonu. U području rashladne tečnosti temperatura tb se menja, u početku linearno, a zatim je skoro postojana zbog intenzivnijeg mešanja tečnosti.
Hlađenje se može izvoditi gorivom ili oksidatorom pojedinačno ili pomoću obe komponente istovremeno. Izbor rashladne tečnosti zavisi od konkretnih uslova koji se postavljaju. Tečnost prolazeći kroz sistem hladenja ne sme da se zagreje više od temperature ključanja. Prema tome, ukupna količina toplote koja prelazi od gasova na zidove u jedinici vremena treba količinski da bude manja od toplote koju može da primi rashladna tečnost zagrevajući se do temperature ključanja.
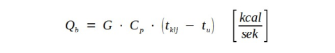
Jednačina količine toplote koju može da primi rashladna tečnost glasi:
(8)
gde je:
G [kg/sek] - količina rashladne tečnosti
Cp [kcal/kg°C] - specifična toplota tečnosti
tklj [°C] - temperatura ključanja rashladne tečnosti
tu [°C] - ulazna temperatura rashladne tečnosti
Odavde se može odrediti kolika je potrebna količina rashladne tečnosti ako su poznate ostale veličine.
U sistemu hlađenja može doći do pojave intenzivnog ključanja tečnosti uz sam zid. Ovakva pojava se ne dozvoljava jer nepovoljno utiče na prelaz toplote. Do ovoga može doći ako je površinska temperatura zida koji kvasi rashladna tečnost, veća od temperature ključanja tečnosti za 50°C ili više. Prema tome treba uzimati takvu tečnost koja ima veću temperaturu ključanja kod istih ostalih uslova.
Kao primer može se navesti motor koji radi sa tečnim kiseonikom. Za rashladnu tečnost upotrebljava se gorivo, jer tečni kiseonik ima vrlo nisku temperaturu ključanja –183°C.
Mora se nastojati da ne dođe do hemiskih promena rashladne tečnosti jer bi to dovelo do pogoršanja hlađenja. Neka goriva dobijena iz nafte, sklona su pri određenoj temperaturi i pritisku da formiraju krute čestice. Ove se čestice talože preko površina rashladnog sistema i otežavaju prelaz toplote kroz zidove na rashladnu tečnost. Treba naglasiti da na izbor rashladne tečnosti utiču i njihove fizikalne osobine, kao što su: specifična toplota, viskozitet i toplotna provodljivost, jer i od njih zavisi koeficijenat prelaza toplote na tečnost.
Sistem spoljašnjeg hlađenja
Na slici 4 je šematski prikazan sistem hlađenja motora sa jednom gorivnom komponentom.

Slika 4
Rashladna tečnost prolazi kanalom 1, ide kroz međuprostor 3, hladi zidove mlaznika i komore sagorevanja 2, ide kroz vod 5 i ulazi kroz glavu komore 6 u komoru sagorevanja.
Za rashladnu tečnost mogu se upotrebiti istovremeno i obe gorivne komponente. Takav način hlađenja prikazan je na slici 5.

Slika 5
Obe komponente (gorivo i oksidator) upotrebljavaju se istovremeno za hlađenje.
S obzirom da nije dozvoljeno mešanje goriva i oksidatora van komore sagorevanja u tom slučaju se uzima jedna komponenta za hlađenje mlaznika motora a druga za komoru sagorevanja.
Obe tečnosti prolaze kroz za to određene vodove, hlade motor i najzad ulaze preko glave u komoru gde sagorevaju zajedno sa primarno dovedenim gorivom i oksidatorom.
Ako se motor hladi sa vodom ona se tada zagreje do temperature ključanja. Dobijena vodena para se iskorišćava za parnu turbinu koja pokreće pumpe za gorivo i oksidator. Posle obavljenog rada u turbini, para odlazi u kondenzator, hladi se i ponovo se pumpa u sistem za hlađenje motora.
Oblici protočnih kanala. Protočni kanali kroz koje prolazi rashladna tečnost mogu biti različiti po formi. Oni se odabiraju u zavisnosti od čvrstoće konstrukcije, vrste raspoložive rashladne tečnosti i odvodne toplote. Pri tome treba imati u vidu i brzinu rashladne tečnosti, koja se kreće u oblasti kritičnog preseka mlaznika brzinom od 5 do 10 m/sek.
Smer kretanja rashladne tečnosti kroz svoj međuprostor (zazor) može biti uzdužan ili spiralan u odnosu na uzdužnu osu motora.
Motor se najčešće izrađuje sa prstenastim kanalom (međuprostor, zazor) za hlađenje, koji je istovremeno i dosta jednostavan za izradu. Ovakav kanal prikazan je na slici 6. Pored jednostavnosti izrade ovakvih prstenastih košuljica mora se strogo paziti na veličinu zazora (visina međuprostora) kuda prolazi rashladna tečnost. Zbog pogrešno napravljenog zazora može doći do progorevanja komore.

Slika 6
Komora sagorevanja sa prstenastim kanalom za hlađenje ima malu čvrstoću. Da bi se ovaj nedostatak otklonio postavljaju se uzdužna rebra između zida komore i spoljašnjeg omotača kao što je prikazano na slici 7.

Slika 7
Ovde se međutim može pojaviti još jedna teškoća. Ako je količina rashladne tečnosti relativno mala, onda je potrebno povećati brzinu cirkulacije odnosno smanjiti poprečne preseke uzdužnih kanala. Smanjenjem preseka kanala komplikuje se postupak izrade a time i poskupljuje proizvodnja.
Dimenzije širine i visine preseka su oko 2X2 mm.
Da bi se povećala brzina kretanja rashladne tečnosti, čvrstoća komore i prenos toplote, kanali se izrađuju u obliku spirale (navojnica). Visina ovakvih kanala se kreće od 1 do 3 mm.
Najveći nedostaci ovakvih kanala su složena izrada i ograničena brzina proticanja rashladne tečnosti. Povećavanje brzine priticanja preko određene granice dovodi do povećanja gubitaka u pritisku tečnosti (proporcionalno kvadratu brzine), a to zahteva znatno povećanje ulaznog pritiska.
Neki motori se u kritičnom području mlaznika hlade preko spiralnog kanala, dok komora ima prstenasti kanal za hlađenje.
Kod nekih motora se upotrebljavaju obavijene cevi koje zamenjuju spiralne kanale.
U zadnje vreme izrađuju se komore zajedno sa mlaznikom od metalnih cevi koje su paralelne sa uzdužnom osom. Cevi su međusobno poređane, kao na slici 8, i zavarene. Poprečni preseci su jednaki kod svih cevi. Ova okolnost povoljno utiče na cirkulaciju jer ne dolazi do zastoja odnosno promene brzine proticanja rashladne tečnosti.

Slika 8
Upotrebom gorivnih komponenata visoke toplotne vrednosti i kod povećanog pritiska u komori, naglo se povećava gustina toplotnog toka. To dovodi do znatnog pogoršanja hlađenja jer je nemoguće normalno odvoditi toplotu sistemom spoljašnjeg hlađenja. Da bi motor normalno radio i da ne bi došlo do progorevanja, mora se popraviti ili izmeniti sistem hlađenja. U takvim slučajevima najčešće se upotrebljava sistem unutrašnjeg hlađenja.
Sistem unutrašnjeg hlađenja
Ovim sistemom se smanjuje intenzitet prelaza toplote od gasova na zidove komore i mlaznika. Drugim rečima ovaj sistem smanjuje delovanje toplotnog toka, tj. poboljšava hlađenje motora. Potrebno je na neki način što efikasnije odvojiti vruće gasove od zidova komore i mlaznika. To se može postići slojem (filmom) rashladne tečnosti koja će kliziti preko unutrašnjih zidnih površina. Obrazovanje takvog sloja rashladne tečnosti može se postići ili odgovarajućim razmeštajem brizgaljki rashladne tečnosti u glavu komore ili preko posebnih otvora koji su razmešteni duž komore ili mlaznika (slika 9 i 10).

Slika 9 i 10
Kod unutrašnjeg hlađenja za rashladnu tečnost najčešće se uzima gorivo, a može i neka inertna tečnost kao što je voda. Brizgaljke su u glavi komore razmeštene tako da periferiski mogu ubrizgavati određeni višak tečnosti u komoru u odnosu na normalnu smešu. Taj višak tečnosti koji ubrizgavaju gušće raspoređene periferiske brizgaljke (slika 9), obrazuje tanki sloj od samog početka komore sagorevanja pa dalje. Temperatura ovako formiranog sloja je niža od temperature jezgra struje. gasova i na taj način se postiže povoljnije hlađenje. Posle izvršenog zadatka rashladna tečnost (gorivo) se meša sa oksidatorom i sagoreva.
Drugi način poboljšanja hlađenja može se postići preko niza otvora koji su razmešteni po kružnim pojasevima komore sagorevanja i mlaznika (slika 10).
Kroz te otvore dovodi se rashladna tečnost, koja obrazuje tanak sloj na zidnim površinama. Zbog uticaja jezgra toplotne struje sloj rashladne tečnosti se raznosi preko zidova, gde istovremeno i isparava. Prema tome debljina tečnog sloja se smanjuje, a parni sloj se povećava u smeru kretanja struje gasova.
Debljina parnog sloja se povećava sve dotle dok tečni sloj ne ispari. Posle toga se i parni sloj (zavesa) smanjuje mešajući se sa glavnom strujom gasova koja odnosi paru sa sobom (slika 11).

Slika 11
S obzirom da para ima manju toplotnu provodljivost, tj. veću termičku otpornost od tečnosti kao i manju specifičnu težinu, može se zaključiti da parni sloj ima veće zaštitno dejstvo nego tečni.
Ako je zaštitni sloj odnosno »parna zavesa« formirana od goriva, onda dolazi do mešanja sa oksidatorom i do sagorevanja. Ovakvo sagorevanje daje relativno niže temperature. Povećanje površine zaštitnog sloja postiže se povećanjem broja otvora odnosno kružnih pojaseva. Ispitivanja su pokazala da gasovi brzo raznose deblje slojeve tečnosti.
Smanjenjem dijametara dovodnih otvora rashladne tečnosti smanjuje se debljina tečnog sloja. Povećanjem broja otvora i smanjenjem njihovih dijametara dobijeni su povoljniji rezultati. Povoljniji rezultati hlađenja dobijeni su i upotrebom poroznih materijala za komoru i mlaznik. Ovakvi materijali imaju veliki broj pora sa malim dijametrom, što omogućava ravnomernije formiranje rashladnog sloja. Pomoću ovakvih materijala motor se može hladiti i sa hladnim vazduhom. Porozni materijali se dobijaju od metalnih praškova posebnom obradom. Ipak, upotreba poroznih materijala nije našla veliku primenu zbog slabih mehaničkih osobina. Mehaničke osobine su umanjenje zbog male čvrstoće. Zidovi komore i mlaznika trebalo bi da budu dosta debeli što bi dovelo do povećanja težine motora. Pojava začepljenja poroznog materijala je takođe nedostatak koji dovodi do smanjenja efikasnosti hlađenja motora.
Ovakve konstrukcije nisu naišle na veću primenu. Treba takođe imati u vidu da rashladna tečnost koja se naknadno ubacuje u motor, ometa pravilno i potpuno sagorevanje.
Specifična snaga motora sa unutrašnjim hlađenjem je manja nego kod motora sa spoljašnjim hlađenjem.
Sistem mešovitog hlađenja
Veća sigurnost rada motora može se postići sistemom mešovitog hlađenja kod kojeg je manja mogućnost da dođe do progorevanja. Ovakav sistem pretstavlja kombinaciju spoljašnjeg i unutrašnjeg hlađenja. Rashladna tečnost istovremeno prolazi kroz međuprostor i kroz otvore peri- feriskih pojasnih površina stvarajući tečni i parni zaštitni sloj.
Hlađenje je jedan od regulatora normalnog rada motora. Hlađenjem raketni motori produžavaju resurs rada, a to se uglavnom odnosi na raketne motore koji se upotrebljavaju kao pomoćni pogon aviona pri uzletanju ili pak za povećanje performansi u vazduhu.
Svi raketni motori sa tečnim gorivom nemaju posebni sistem za hlađenje. Izbor sistema hlađenja zavisi od vremena trajanja rada motora, načina upotrebe (jedno ili višekratna) kao i od njegove namene. Raketni motori koji se upotrebljavaju za dirigovane projektile, meteorološke rakete ili za izbacivanje projektila, nemaju uvek sistem za hlađenje. Ne mora biti hlađen svaki stepen višestepene rakete. Ovo je uslovljeno relativno kratkim vremenom trajanja rada.
Temperatura vrućih gasova, veličina specifične toplote i toplih površina, materijal motora, vreme trajanja rada, način upotrebe kao i namena motora, sve su to faktori koji utiču na rad motora odnosno na izbor sistema za hlađenje. Smanjivanjem geometriskih dimenzija mlaznika i komore smanjuju se tople površine, ali se zato povećava gustina toplotnog toka. Zato treba usvajati takva rešenja koja daju optimalne rezultate ne samo u pogledu ostvarenja uspešnog hlađenja već i najpovoljnijih karakteristika rada motora.
Autor: Vazd. tehnički kapetan Ing. MILOŠ ĆUPRIĆ
Izvor: Vazduhoplovni glasnik, 60-te godine prošlog veka