188. Teorema. U pravouglom trouglu hipotenuzina visina je srednja proporcionala između hipotenuzinih odsečaka, a svaka kateta je srednja proporcionala između hipotenuze i obližnjeg hipotenuzinog odsečka.
Neka je AD (sl. 198) hipotenuzina visina. Treba dokazati tri sledeće proporcije:
1) BD/AD=AD/DC; 2) BC/AB=AB/BD; 3) BC/AC=AC/DC
Prvu proporciju dobijamo iz sličnih trouglova ABD i ADC. Trouglovi su slični zato što ∢1=∢4 i ∢2=∢3, kao uglovi sa uzajamno normalnim kracima (§ 80). Uzmimo u △ABD strane BD i AD koje čine prvu razmeru tražene proporcije: odgovarajuće strane u △ADC biće AD i DC1) stoga BD:AD=AD:DC.
1)
Da bi se bez pogreške odredilo koje su strane u trouglovima odgovarajuće, korisno se držati ovog uputstva:
1) uočiti uglove koji leže naspram uzetih strana u jednom trouglu
2) naći uglove koji su im jednaki u drugom trouglu;
3) odrediti suprotne im strane.
Na primer, za △ABD i △ADC ovako rezonujemo: u △ABD strane BD i AD leže prema uglovima 1 i 3; u △ADC tim uglovima su jednaki uglovi 4 i 2; prema njima leže strane AD i DC. Znači stranama AD i DC odgovaraju strane BD i AD.

Tačnost druge proporcije sleduje iz sličnosti trouglova ABC i ABD; oni su slični kao pravougli trouglovi sa zajedničkim oštrim uglom B. U △ABC uzmimo strane BC i AB koje čine prvu razmeru tražene proporcije; njima u △ABD odgovaraju strane AB i BD; stoga
BC:AB=AB:BD.
Treća proporcija sleduje iz sličnosti trouglova ABC i ADC, koji su slični kao pravougli trouglovi sa zajedničkim oštrim uglom C. U △ABC uzimamo strane BC i AC; odgovarajuće im strane u ADC biće AC i DC, prema tome
BC:AC=AC:DC
189. Posledica. Neka je A (sl. 199) proizvoljna tačka kružne linije opisane nad prečnikom BC. Spajanjem ove tačke s krajnjim tačkama prečnika dobijamo pravougli △ABC, kod koga je hipotenuza prečnik a katete su tetive (§ 125, 2). Primenom više dokazane teoreme na ovaj trougao dolazimo do sledećeg zaključka:
Normala, spuštena iz ma koje tačke kružne linije na prečnik, je srednja proporcionala između prečnikovih odsečaka, a tetiva koja spaja ovu tačku s krajnjom tačkom prečnika je srednja proporcionala između prečnika i obližnjeg odsečka.
190. Zadatak. Konstruisati duž koja je srednja proporcionala duži a i b.

Zadatak se može rešiti na dva načina:
Na proizvoljnu pravu (sl. 200) prenosimo duž AB=a i BC=b; nad AC, kao nad prečnikom, opisujemo polukrug; iz B podignimo normalu BD do preseka s kružnom linijom. Ova će normala biti tražena srednja proporcionala AB i BC.
Na proizvoljnu pravu (sl. 201) prenosimo od tačke A duži a i b. Nad većom od ovih duži, kao nad prečnikom, opišimo polukrug, a iz krajnje tačke manje duži dignimo normalu prema AB do preseka s kružnom linijom u tački D i spojimo A i D. Tetiva AD biće srednja proporcionala između a i b.
191. Pitagorino pravilo. Dokazane teoreme daju mogućnost da se konstatuje interesantan odnos između strana ma kog pravouglog trougla. Ovaj odnos prvi je pronašao grčki geometar Pitagora (VI vek pre naše ere) i stoga nosi njegovo ime - Pitagorino pravilo.

Ako su strane pravouglog trougla izmerene istom jedinicom, onda je kvadrat dužine hipotenuze jednak zbiru kvadrata dužina kateta.
Neka je ABC (sl. 202) pravougli trougao a AD hipotenuzina visina. Pretpostavimo da su strane i hipotenuzini odsečci izmereni istom jedinicom i da dobijeni brojevi a, b, c, c' i b' (uobičajeno je da se trouglove strane obeležavaju malim slovima koja odgovaraju velikim slovima kod temena suprotnih uglova). Primenom teoreme § 188 možemo da napišemo proporcije
a:c=c:c' i a:b=b:b',
odakle
ac'=c2 i ab'=b2.
Sabiranjem levih i desnih strana ovih jednačina dobijamo:
ac'+ab'=c2+b2, ili a·(c'+b')=c2+b2.
Ali c'+b'=a,
prema tome a2=c2+b2.
Ova teorema se obično skraćeno formuliše ovako: kvadrat hipotenuze jednak je zbiru kvadrata kateta.
Primer. Pretpostavimo da su katete, izmerene kakvom dužinskom jedinicom, izražene brojevima 3 i 4; tada će hipotenuza biti izražena brojem x koji zadovoljava jednačinu:
x2=32+42=9+16=25, odakle h=√25=5.
Napomena. Pravougli trougao sa stranama 3, 4 i 5 zove se egipatski trougao, pošto je bio poznat starim Egipćanima. Njihovi geometri za konstrukciju pravog ugla na zemljinoj površini koristili su se ovim načinom: jedan konopac pomoću čvorova delili su na 12 jednakih delova zatim, svezavši krajnje tačke, zatezali su ga na zemljinoj površini (pomoću kočeva) u obliku trougla sa stranama 3, 4 i 5; na taj način dobijali su prav ugao između strana 3 i 4 1).
Pitagorino pravilo ima i drugi izraz kako ga je dao sam Pitagora. S ovim izrazom upoznaćemo se docnije (§ 257).
1)
Pravougli trouglovi čije su strane izražene celim brojevima zovu se pitagorini trouglovi. Može se pokazati da su katete x i y hipotenuza z takvih trouglova izražene sledećim formulama:x=2ab, y=a2-b2 i z=a+b2,
gde su a i b ma kakvi celi brojevi pod uslovom da je a>b.
192. Posledica. Kvadrati kateta odnose se kao obližnji hipotenuzini odsečci. Zaista, iz jednačina prethodnog paragrafa imamo:
c2:b2=ac':ab'=c':b'.
193. Napomena. 1. Trima jednakostima koje smo izveli ranije:
1) ac'=c2; 2) ab'=b2; 3) a2=b2+c2
mogu se dodati još sledeće dve:
4) b'+c'=a i 5) h2=b'c'
(slovom h obeležena je hipotenuzina visina AD). Od ovih jednakosti treća je, kao što smo videli, posledica prve, druge i četvrte, te prema tome imamo svega četiri nezavisne jednačine; stoga ako su nam poznata dva od šest brojeva, možemo da nađemo ostala četiri.
Kao primer uzećemo da su nam poznati hipotenuzini odsečci b'=5m i c'=7m; tada:
a=b'+c'=12; c=√(ac')=√12·7=√84=9,165...
b=√(ab')=√12·5=√60=7,745...
h=√(b'c')=√ 5·7=√35=5.916...
Napomena 2. U narednim teoremama ćemo radi kratkoće govoriti: „kvadrat strane“ umesto: „kvadrat broja koji pretstavlja dužinu strane", ili: „proizvod odsečaka" umesto: „proizvod brojeva koji pretstavljaju dužine odsečaka". Pri ovome se pretpostavlja da su duži izmerene istom jedinicom.

194. Teorema. U svakom trouglu kvadrat strane naspram oštrog ugla jednak je zbiru kvadrata drugih dveju strana manje udvojeni proizvod jedne od njih i njenog odsečka od temena oštrog ugla do visine.
Neka u trouglu ABC (sl. 203 i 204) strana BC leži naspram oštrog ugla A i BD - visina spuštena na koju bilo od ostalih dveju strana, na primer AC (ili na njeno produženje). Treba dokazati da je
BC2=AB2+AC2-2AC·AD,
ili, obeležavajući dužine linija malim slovima, kao što je učinjeno na slici, treba da se dokaže jednakost:
a2=b2+c2-2bc'.
Iz pravouglog △BDC imamo:
a2=h2+(a')2 (1)
Odredimo svaki od kvadrata h2 i (a')2. Iz pravouglog trougla BAD nalazimo:
h2=c2-(c')2 (2)
S druge strane, a'=b-c' (sl. 203) ili a'= c'-b (sl. 204). U oba slučaja za (a')2 dobijamo jedan isti izraz:
(a')2=(b - c')2=b2-2bc'+(c')2, (a')2=(c'-b)2=(c')2+2bc'+b2 (3)
Tada jednakost (1) može da se napiše ovako:
a2=c2-(c')2+b2-2bc'+(c')2=c2+b2-2bc'
195. Teorema. U tupouglom trouglu kvadrat strane naspram tupog ugla jednak je zbiru kvadrata drugih dveju strana više udvojeni proizvod jedne od njih i odsečka njenog produženja od temena tupog ugla do visine.

Neka u trouglu ABC (sl. 205) strana AB leži naspram tupog ugla C, a BD - visina spuštena na produženje koje bilo strane, na primer na AC; treba dokazati da
AB2=AC2+BC2+2·AC·AD
ili, primenjujući skraćena obeležavanja prema slici:
c2=a2+b2+2ba'
Iz trouglova ABD i CBD imamo:
c2=h2+(c')2=a2-(a')2+(a'+b)2=a2-(a')2+(a')2+2ba'+b2=a2+b2+2ba'
196. Posledica. Iz tri poslednje teoreme dolazimo do zaključka da je kvadrat trouglove strane jednak, manji ili veći od zbira kvadrata drugih dveju strana prema tome da li je naspramni ugao prav, oštar ili tup; odavde sleduje obrnuti stav.
Ugao u trouglu biće prav, oštar ili tup, ako je kvadrat suprotne strane jednak, manji ili veći od zbira kvadrata drugih dveju strana.
197. Teorema. U svakom paralelogramu zbir kvadrata dijagonala jednak je zbiru kvadrata strana (sl. 206).

Iz paralelogramovih temena B i C spustimo na osnovicu AD normale BE i CF. Tada ćemo iz trouglova ABD i ACD imati:
BD2=AB2+AD2-2·AB·AE; AC2=AD2+CD2+2·AD·DF
Pravougli trouglovi ABE i DCF su podudarni pošto imaju jednake hipotenuze i po jedan oštar ugao; stoga je AE=DF. Saberimo dve dobijene jednakosti, tada se 2·AD·AE i 2·AD·DF potiru i imaćemo:
BD2+AC2=AB2+AD2+AD2+CD2=AB2+BC2+CD2+AD2
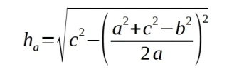
198. Izračunavanje visina u trouglu. Odredimo visinu ha trougla ABC, spuštenu na stranu BC=a (sl. 207 i 208).

Obeležimo odsečke strane a (koja se ima produžiti ako je C tup ugao, sl. 208) ovako: odsečak BD, nalegli strani c, sa c', a odsečak DC, nalegli strani b, sa b'. Na osnovu teoreme o kvadratu strane naspram oštrog ugla (§ 194) možemo napisati:
b2=a2+c2-2ac'
Iz ove jednačine nalazimo odsečak c':
c'=(a2+c2-b2)/2a
Visina ha nalazi se kao kateta iz △ABD:

Na isti način mogu se izračunati visine spuštene na strane b i c.