209. Zadatak. Datu duž podeliti po pravilu zlatnog preseka.
Ovaj zadatak se ima razumeti da duž treba podeliti na dva dela, tako da veći deo bude srednja proporcionala između cele duži i manjeg dela.
Zadatak će biti rešen ako se nađe jedan od delova na koje treba podeliti datu duž. Tražićemo veći deo, tj. onaj koji je srednja proporcionala između cele duži i njenog manjeg dela. Pretpostavimo najpre da se ne radi o konstrukciji toga dela, već samo o izračunavanju njegove dužine. Tada će se zadatak rešiti algebarski na ovaj način: ako celu duž obeležimo sa a, a dužinu većeg dela sa x, onda će dužina manjeg dela biti a-x i, prema uslovu zadatka, imaćemo proporciju:
a:x=x:(a-x)
odakle
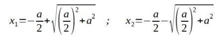
x2=a·(a-x) ili x2+ax-a2=0
Rešavanjem ove kvadratne jednačine dobijamo:

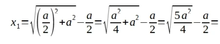
Drugo rešenje, kao negativno, otpada; ostaje samo prvo, pozitivno rešenje koje se može pretpostaviti ovako:


Prema tome zadatak je uvek mogućan i ima samo jedno rešenje.
Ako bi nam pošlo za rukom da konstruišemo duž čija je dužina predstavljena gornjim obrascem, onda će data duž, ako se na nju prenese nađena duž, biti podeljena po pravilu zlatnog preseka. Prema tome pitanje se svodi na konstrukciju nađenog obrasca. Najzgodnije ga konstruisati ako se uzme u obliku pre uprošćenja, tj. ako uzmemo

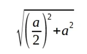
Posmatrajući zasebno izraz

vidimo da on predstavlja dužinu hipotenuze u pravouglom trouglu čije su katete a i a/2. Konstruišimo takav trougao i naći ćemo duž koja predstavlja


Da bi se našla duž x1, potrebno je da se od hipotenuze konstruisanog trougla oduzme a/2. Prema tome konstrukcija se ovako izvodi:
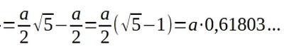
Delimo (sl. 217) datu duž AB=a na dva jednaka dela tačkom C. Iz tačke B podignimo normalu i prenesimo na nju BD=BC. Spajanjem tačaka A i D dobijamo pravougli trougao ABD čije su katete AB=a i BD=a/2. Stoga će njegova hipotenuza AD biti jednaka

Da bi se od hipotenuze oduzela duž a/2, opišimo iz tačke D luk čiji je poluprečnik BD=a/2. Tada će odsečak AE pretstavljati

tj. traženi deo x1. Kad se AE prenese na AB (od A do G), dobijamo tačku G koja deli datu duž po pravilu zlatnog preseka.
Napomena. Podela duži po pravilu zlatnog preseka potrebna je u geometriji za konstrukciju pravilnog desetougla upisanog u datom krugu.
210. Rešavanje geometriskih zadataka pomoću algebre. Mi smo rešili prethodni zadatak primenom algebre na geometriju. Ova se metoda sastoji u sledećem: prvo se određuje koja će se duž tražiti, da bi se zadatak mogao rešiti. Zatim, označivši date duži slovima a, b, c... a traženu duž sa x, na osnovu podataka zadataka i poznatih teorema, postavlja se jednačina koja vezuje traženu duž sa datim dužima; dobijena jednačina ima da se reši po pravilima algebre. Dobijeno rešenje ima da se ispita, tj. moraju se ispitati uslovi pod kojima je zadatak mogućan i koliko ima rešenja, jedno ili više. Najzad se vrši konstrukcija nađenog izraza.
Na taj način analitička metoda rešavanja geometrijskih zadataka ima uopšte četiri dela: 1) postavljanje jednačine, 2) njeno rešavanje, 3) analiza dobijenog izraza i 4) njegova konstrukcija.
Ponekad se zadatak svodi na traženje više duži. Tada se one označuju sa x, y..., a potrebno je sastaviti onoliko jednačina, koliko ima nepoznatih.
211. Konstrukcija najprostijih izraza. Navešćemo nekoliko najprostijih izraza koji se mogu konstruisati pomoću lenjira i šestara; pretpostavimo pri ovome da slova a, b, c... označuju dužine datih duži, a x - dužinu tražene duži. Konstrukcija izraza x=a+b+c, x=a-b; x=2a, 3a,... Vrlo je jednostavna i na njima nećemo da se zadržavamo. Razmotrimo složenije izraze:
Izrazi: h=a/2, a/3,... h=2/3·a...itd. konstruišu se pomoću deljenja duži a na jednake delove, a zatim, ako je potrebno, jedan se deo uzima kao sabirak 2, 3,... puta.
Izraz x=ab/c predstavlja četvrtu proporcionalu duži c, a i b. Iz date jednačine sleduje cx=ab, odakle c:a=b:x. Prema tome x se nalazi na način pokazan u§ 185.
Izraz x=a2/b predstavlja treću proporcionalu duži b i a
Iz jednakosti sleduje:
bx =a2
odakle
b:a=a:x.
Prema tome x se nalazi kao četvrta proporcionala, samo se duž a prenosi dvaput.
Izraz x=√ab predstavlja srednju proporcionalu između a i b. Iz izraza sleduje
x2=ab
odakle
a:x=x:b
Stoga se x nalazi kao srednja proporcionala, kako je to pokazano u § 190.
Izraz x=√(a2+b2) predstavlja hipotenuzu pravouglog trougla čije su katete a i b.
Izraz x=√(a2-b2) predstavlja katetu pravouglog trougla čija je hipotenuza a, a druga kateta b.
Konstrukcija se vrši na način kako je pokazano u§ 126.
Navedeni izrazi mogu se smatrati kao osnovni, Pomoću njih se vrši konstrukcija složenijih izraza. Na primer:
x=a·√(2/3)
Uvođenjem pod znak korena dobijamo:
x=√(2/3·a2)=√(a·2/3·a)
Odavde je jasno da je x srednja proporcionala između a i 2/3a.
x=√(a2+b2-c2+d2). Uzmimo da je a2+b2=k2. Tada se k nalazi kao hipotenuza pravouglog trougla čije su katete a i b. Pošto se konstruiše k, uzmimo da je k2+d2=l2. Onda je l hipotenuza pravouglog trougla čije su katete k i d. Izvršivši konstrukciju l, tražićemo x=√(l2-c2) kao katetu pravouglog trougla čija je hipotenuza l, a druga kateta c.
Ograničićemo se ovim primerima. Detaljnije proučavanje metode konstruisanja algebarskih izraza dovodi nas do sledećeg važnog zaključka:
Pomoću lenjira i šestara mogu da se konstruišu samo takvi algebarski izrazi koji se dobijaju iz poznatih količina pomoću konačnog broja racionalnih operacija i izvlačenja kvadratnih korena.